نمذجة المنحنيات الناعمة

المبنية على ثنائيات الحدّين

مقدمة حول المنحنيات ونقاط التحكم

المنحنيات هي مسارات ناعمة ومستمرة تُستخدم لتمثيل أشكال هندسية. تختلف أنواع المنحنيات بناءً على طريقة حسابها واستخداماتها.

نقطة التحكم هي نقطة في الفضاء تُستخدم لتحديد شكل المنحنى. يمكن أن يكون لدينا نقطتان أو أكثر تشكل منحنى بيزيه أو نيربس. كلما زاد عدد نقاط التحكم، أصبح المنحنى أكثر تعقيدًا.

الدرجة هي رقم يحدد مدى تعقيد المنحنى. منحنى من الدرجة الأولى هو خط مستقيم، بينما الدرجة الثانية تُعطي منحنىً بسيطًا، والدرجة الثالثة تُنتج منحنى سلسًا ومنحنٍ أكثر.

الإستيفاء

المنحنى الناعم من الدرجة الأولى

عملية الإستيفاء هي عملية رياضية تمكن من تقدير قيم دوال في مجالات ما بين قيم نفس الدالة معروفة. الإستيفاء الخطي هو أقل درجة إستيفاء ممكنة ويمكن أن تبدأ من نقطتين فقط.

أبسط مسار يمكن رسمه بين نقطتين في معلم متعامد ممنظم ثنائي أو ثلاثي الأبعاد هو خطٌ مستقيم من النقطة الأولى إلى النقطة الثانية. تحديد إحداثيات أي نقطة على هذا الخط في المعلم المذكور يكون بإستيفاء القيم من النقطتين المتوفرتي الإحداثيات.

فمثلا إذا أردنا أن نعلم الإحداثيات في رُبع المشوار من النقطة الأولى إلى النقطة الثانية نحسبها كالتالي:

وبالمثل إذا أرادنا معرفة الإحداثيات عند ثُمن، سُدس، نصف أو ثلاث أرباع المشوار أو أي جزء من أجزاء الوحدة. ومنه نُعمّم العلاقة الرابطة بين النقطتين:

هذه العلاقة تعبر عن المنحنى المستوفي خطيا من الدرجة الأولى وهو كما سبق الذكر أبسط المنحنيات الهندسية تعريفا وشكلا، خط مستقيم وقطعة واحدة بسيطة تصل النقطتيين بشكل مباشر.

المتغير ز يعبر عن نسبة المشوار المقطوع من أوّل المنحنى إلى آخره، وهو المتغير الوحيد الذي يحدَّد به جميع نقاط المنحنى ومنه المنحنى نفسه وشكل أو إتجاه الخط نفسه.

الإستيفاء التكراري

المنحنيات الناعمة من درجات أعلى

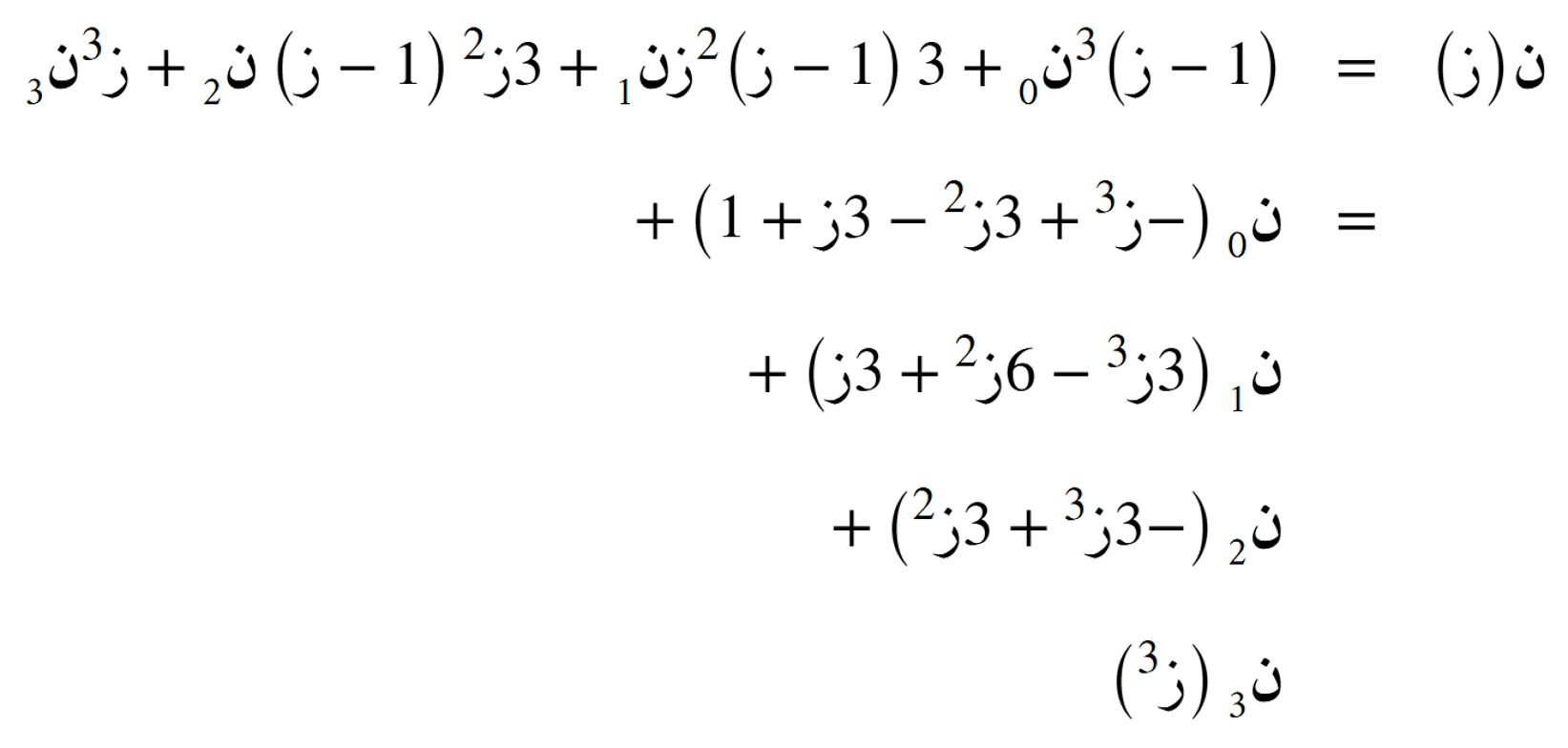
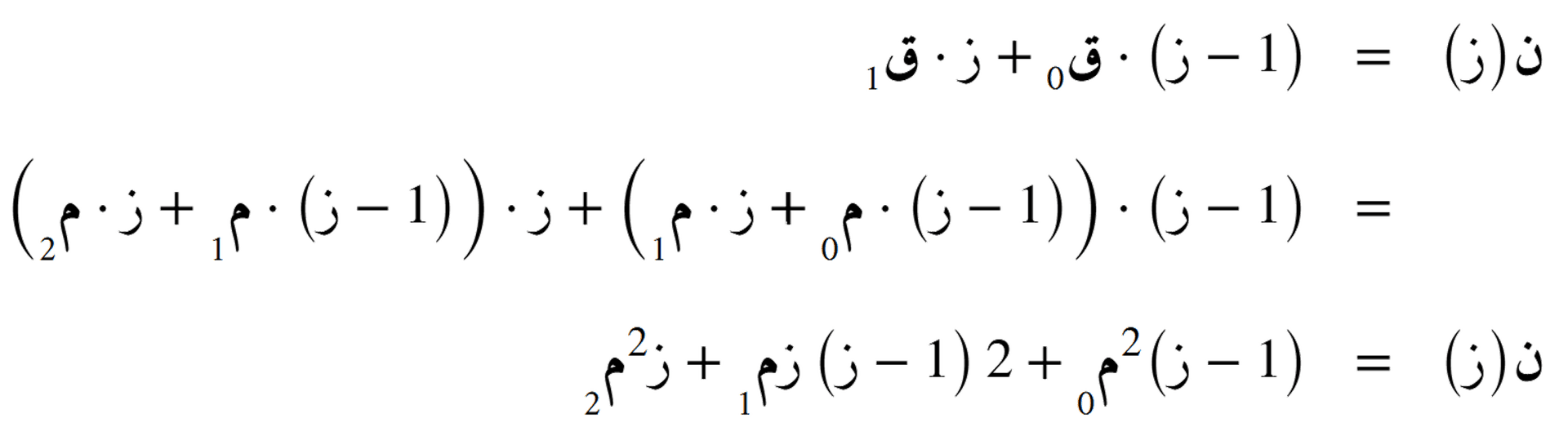
لآن إذا أضفنا نقطة ثالثة إلى المسألة، واعتبرنا أنا هناك نقطة متغيّرة مستوفاة أيضا من النقطة الثانية والثالثة، ثم ربطنا النقطتيين المتغيّرتين الإثنتين معا بخط ثالث، ثم أخذنا نقطة متغيّرة ثالثة أيضا محكمة بالمتغيّر الزمني ز فالمسار التي ترسمه هذه الأخيرة عند إنطلاق المتغيّر ز من الصفر إلى أن يصل إلى الواحد، يرسم لنا شكلا هندسيا منحنيا من الدرجة الثانية.

تكون معادلة هذا المنحنى إذن بدلالة إحداثيات النقاط الثلاث والتي تتحكم نوعا ما في قيم العبارة الناتجة ومن شكل المنحنى الناتج عن هذا الإستفاء.

هكذا يمكن إضافة أي عدد من النقاط ورفع درجة المنحنى الحاصل أعلى فأعلى. يمكن التحكم في الشكل الهندسي للمنحنى أو بتعبير آخر التحكم في مسار النقطة في الفضاء بالتحكم في النقاط المعروفة والتي في هذا الباب تسمى نقاط التحكم.

المنحنيات الناعمة المركّبة

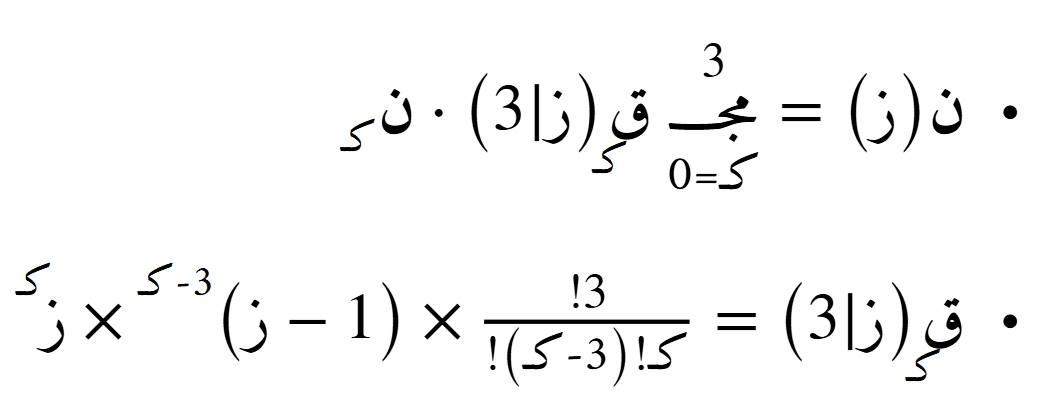
يمكن أيضًا فهم معادلة المنحنى أو مسار النقطة من خلال مفهوم الدوال الأساسية. فعندما يكون لدينا أربع نقاط تساهم في تشكيل المنحنى، كما في المثال السابق، يكون لكل نقطة دالة أساسية معرّفة على مجال المتغيّر الزمني "ز"، تتراوح قيمتها بين الصفر والواحد، وتحدد مدى مساهمة إحداثيات تلك النقطة في تحديد موقع النقطة المتغيرة التي ترسم المنحنى. في كل لحظة زمنية، يكون مجموع قيم الدوال الأربع مساويًا للواحد. فعندما تكون النقطة المتغيرة في بداية المنحنى، تكون قيمة الدالة الأساسية للنقطة المقابلة تساوي واحد، بينما تكون قيم الدوال الأخرى صفرًا، أي أن المساهمة الكاملة تعود لتلك النقطة فقط. يمكنك مشاهدة ذلك والتفاعل مع الشكل أدناه.

على سبيل المثال المنحنى أعلاه هو منحنى ناعم متكرر الإستيفاء من الدرجة الثالثة يمكن صياغة معادلته على النحو التالي:

أو على الشكل المصفوفي

ويمكننا أيضًا استخدام مفهوم الدوال الأساسية لتمثيل المنحنى بشكل أكثر وضوحًا. في هذه الحالة، يمكننا استخدام ثنائيات الحدّين (الدوال بيرنشتاين) التي تُستخدم بشكل شائع في تصميم المنحنيات الناعمة.

الهدف من استخدام هذه المنحنيات هو رسم خطوط منحنية مصممة لتحقيق أشكال محددة في تطبيقات هندسية أو فنية أو عملية أخرى. يتم التحكم في شكل المنحنى من خلال نقاط التحكم، فكلما زادت درجة المنحنى وزاد عدد النقاط المساهمة في بنائه، أصبح المنحنى أكثر مرونة وليونة ليتناسب مع الشكل المطلوب. ومع ذلك، فإن تأثير كل نقطة تحكم يمتد إلى كامل المنحنى، حيث يتغير شكل المنحنى بأكمله عند تحريك أي نقطة تحكم، ويختلف مقدار هذا التأثير حسب بُعد النقطة عن الموضع المتغير. هذا ما يُعرف بمفهوم التأثير العام.

يمكن تحويل هذا التأثير العام إلى تأثير محلي إذا قمنا بربط عدة منحنيات متتابعة معًا، بحيث تصبح كل مجموعة من نقاط التحكم مسؤولة فقط عن جزء محدد من المنحنى الكلي. وتسمى هذه المنحنيات بالمنحنيات الناعمة المركبة

الإستمرارية

هنا يصبح الكلام على إستمرارية مسار المنحنى مهمّا وذات غاية وهدف تصميمي تارة هندسي تطبيقي وتارة أخرى فنّي تشكيلي لِما لا.

الإستمرارية الشكلية من الدرجة الأولى

للتأمل في مفهوم الإستمرارية، ندعو القارئ الكريم إلى اللقطة الشاشية أسفله والتي يمكن فيها التحكم في النقطة العابرة للمنحنى بالإضافة إلى إشتقاق الدالة في هذه النقطة والذي يتمثل في مماس المنحنى عند النقطة.

الرسم التفاعلي أسفله يُظهر أيضا تطور الزاوية المماسة للمنحنى في الرسم السفلي في كل نقطة من المنحنى والذي نلاحظ فيه بوضوح عدم إستمرارية الدالة وإنقطاعها عند الإنتقال من منحنى ناعم إلى المنحنى الذي يليه. هذا يبرهن على التغيّر المفاجئ لإنحناء المماس عند تلك النقاط الإنتقالية على الأقل في الشكل الحالي للمنحنى إذا لم يتم تغييره إلى الأنعم كما سنرى فيما بعد.

في اللقطة أسفله نسلّط الضوء على هذا الإنقطاع في إتجاه المماس قبل أن نقوم بتنعيم المنحنى في النقاط الإنتقالية كي نحقّق ما نسميه بالإستمرارية الشكلية من الدرجة الأولى ودرجة أدنى من الإستمرارية التامة والتي تتحقق ليس فقط عند تطابق زاويتي المماس في المنحينين المجاورين ولكن عند تطابق أيضا سرعتي النقطة قبل وبعد عبور النقطة الإنتقالية.

وبالمثل، في اللقطة أسفله نسلّط الضوء على هذا الإنقطاع في سرعة المنحنى عند النقطة الإنتقالية قبل أن نقوم بإصلاحه في النقاط كلّها كي نحقّق الإستمرارية التامّة من الدرجة الأولى. نقوم بإصلاح وتنعيم المنحنى بشكل بصري بالنظر إلى تطور السرعة في المنحنى الأسفل وإصلاح الإنقطاع فيه بتحريك نقط التحكم لاكن يمكن الوصول إلى النتيجة الدقيقة بتقييد قاعدة الدوال الأساسية للمنحنى الناعم ثم جبر إحداثيات نقاط التحكم للحصول على الحل المرجو. وبهذا يمكن تقييد حرية التصميم لضمان إستمرارية المنحنى من الدرجة الأولى.

هنا نقوم بنفس التحليل لكن بنسبة للمشتقة الثانية والتي تعبّر عن تقعّر، أو في هذا السياق إنحناء، المنحنى. نُمثّل الإنحناء هنا بالدائرة المقرِّبة للمنحنى في كلّ نقطة أو بالمتجه العمودي للمماس والذي يكون في هذه الحال متوجها نحو مركز الدائرة المسبوق ذكرها وطولها يعبّر عن كِبَرِ شعاع هذه الأخيرة أي درجة الإنحناء والتقعر. يمكن تتبع تطوّر الإنحناء في الرسم أسفله ومنه الملاحظة أنه لا يحقق إستمرارية لا شكلية ولا تامة خاصة في نقاط الإنتقال بين المنحنيات المركّبة.

بتحكم أدق للنقاط التحكم، يمكن تنعيم هذا المنحنى وجعله ذات إستمرارية تامة وحتى تقيّد نقط تحكمه (عن طريق جبر إحداثياتهم) للضمان إنسياب المنحنى مهما كانت مواقع النقاط. هذا وقد نتوقف عموما عند الدرجة الثانية في تصميم ورسم المنحنيات الناعمة لأن رفع درجات الإستمرارية فيهم يقيّد النقاط الأكثر فالأكثر بل يتطلب إدراج نقاط جديدة فقط للتحقيق الإستمرارية والإنسيابية ليس لرسم الشكل في حد ذاته. ولهذا يصبح لدينا تضارب بين حرية التخطيط وضرورة وأهمية إستمرارية المنحنى الحاصلة حيث يجب إيجاد التوازن بين عدد النقاط وقيودهنّ.

خلاصة

سننتقل الآن لدراسة منحنيات ناعمة مبنية على العقد في القسم التالي.