الهندسة: تطبيقات

تمارين وتطبيقات عملية في الهندسة الرياضية

تم إعداد التمارين التطبيقية القليلة التالية بطريقة مبسطة تهدف إلى تمهيد الطريق أمام القارئ للتعامل مع الرموز والتدوينات العربية المقدمة. وفي الوقت ذاته، تُتيح هذه التمارين للقارئ فرصة البدء في استكشاف العلاقة بين الهندسة وثلاثة مجالات رياضية أخرى، هي: الجبر، وحساب التفاضل والتكامل، والاحتمالات، مما يعزز فهمه لهذه المفاهيم المتداخلة. ومن الجدير بالذكر أن إتقان بعض الأساسيات الرياضية يُعد ضروريًا لتتبّع حلول و إجابات هذه الأسئلة بشكل كافٍ.

حساب مساحة مثلث كروي

في هذا التطبيق البسيط، نريد حساب مساحة مثلث كروي كما نراه في الشكل أسفله. مساحة مثل هذا الشكل تحسب بالعبارة التالية التي تعتمد على الزوايا الكروية المعطاة أسفله وشعاع الكرة التي نعتبر هي بمقدار شعاع كوكب الأرض.

العبارة

المُعطيات

حساب الزوايا

الحلّ

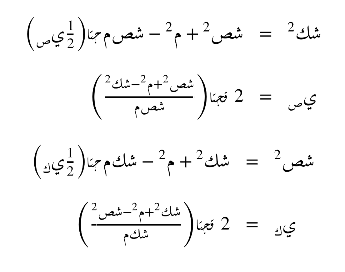
تحديد مركز الدائرة بجبر المُتغيرات

المعروف أن الدائرة في الهندسة الإقليدية معرّفة بثلاث معلّمات، الشعاع أو نصف القطر، والإحداثية السينية والصادية لمركز الدائرة. يمكن تحديد هذه المعلّمات الثلاث انطلاقا من إحداثيات ثلاث نقط معروفة على الدائرة بحل مسألة جبرية.

هناك معلم متعامد ممنظم (س،ص)، وفيه ثلاث نقط. نريد تحديد الدائرة التي تمرّ من هذه الثلاث النقط. نقوم بجبر المجهولات واحدة تلو الأخرى بحل معادلة خطية بسيطة وتغيير المتغيرات الغير الخطية عند الحاجة.

1. رسم المسألة

2. معادلة الدائرة

3. إحداثيات النقط

4. تبسيط معادلة الدائرة

5. تعويض الإحداثيات في المعادلة

6. تبسيط المعادلات الثلاث

7. تعريف المتغير

8. تعريف المعادلات الثلاث

9. طرح مرحلي وتعريف معادلة رابعة

10. طرح مرحلي وجبر الإحداثية السينية للمركز

11. تعويضها في المعادلة الرابعة وجبر صاد المركز

12. جبر المُتغير

13. جبر نصف القطر

14. الحل النهائي

تحديد حجم متوازي الأضلاع باستخدام التكامل

الهدف هنا هو حساب حجم متوازي الأضلاع المرسوم في المعلم المتعامد في الشكل أسفله. لكننا نود استخدام نظرية التفاضل، وخصوصاً حساب التكامل.

نعتبر المتغيرات الثلاثة المتمثلة في الإحداثيات السينية، الصادية، والعينية، حيث إن كل واحدة منها تتغير وفق دالة ثابتة بين قيمتين معروفتين هما إحداثيتي البداية والنهاية. نحسب تكامل هذه الدوال الثلاث حيث يكون حجم المجسم كالتالي:

حساب مساحة شكل هِلالي

الطريقة التحليلية المُباشرة

يُعد الشكل الهلالي (أو القطعة القمرية) ناتجًا عن تقاطع دائرتين. لحساب مساحته بطريقة تحليلية، نقوم بطرح مساحة الجزء المشترك (العدسة) من مساحة الدائرة الكبرى، وذلك وفقًا لنوع الهلال: صغير أو كبير.

يتكوّن الشكل الهلالي من تقاطع دائرتين بنصفَي قطر مختلفَين. نبدأ بتحليل العلاقة الهندسية بين مراكز الدوائر والمسافة بينهما. لحساب مساحة الجزء المشترك بين الدائرتين، نستخدم القطاعات الدائرية والأقواس. الشكل التالي يوضح كيف يُحسب القطاع الدائري بناءً على الزاوية المركزية.

كما نحتاج لحساب مساحة القطعة الدائرية (القطاع ناقص المثلث المضمَّن فيه). الشكل التالي يوضح الفرق بين القطاع وقوس القطعة:

ومنه المساحة تكون

لإيجاد الزوايا اللازمة لحساب المساحات، نستخدم قانون التُجاور (قانون جيب التمام)، الذي يربط بين أطوال الأضلاع وزاوية القوس.

إسقاط قانون جيب التمام على هندسة الهلال نستطيع حساب الزاوية المركزية باستعمال شُعاعي الدائرتين الصغيرة والكبيرة

وإذن الزوايا هنّ

بعد حساب المساحات الجزئية، نقوم بطرح الجزء المشترك بين الدائرتين من مساحة الدائرة الأكبر للحصول على المساحة الهلالية المطلوبة.

وعبارة مساحة الهلال الأكبر تكون إذن:

طريقة المضلّع غير المُنتظم

طريقة العيّنات العشوائية

في هذا التمرين، نهدف إلى حساب مساحة شكل هلالي مرسوم داخل مستطيل كما هو موضح في الشكل أسفله. وكما في التمرين السابق، الهدف ليس فقط الوصول إلى قيمة تقريبية للمساحة، بل أيضًا فهم مبدأ الاقتناء العشوائي للعينات وكيفية ربط مفاهيم هندسية بسيطة مثل حساب المساحة بمفاهيم الاحتمالات والعشوائية.

نفترض أن لدينا القدرة على اختيار نقاط عشوائية داخل المستطيل وعدّها بدقة. نبدأ بعينة صغيرة من النقاط ونحسب نسبة النقاط التي تقع داخل الهلال إلى العدد الكلي للنقاط. بعد ذلك، نزيد تدريجيًا حجم العينة لنحصل على نسب أكثر دقة. كلما زاد عدد النقاط، اقتربت النسبة من التمثيل الحقيقي لمساحة الهلال مقارنةً بمساحة المستطيل.

وبما أن مساحة المستطيل معروفة مسبقًا، يمكننا استنتاج مساحة الشكل الهلالي من خلال ضرب مساحة المستطيل في النسبة التي حصلنا عليها. هذه الطريقة تتيح لنا تقدير مساحة أي شكل داخل المستطيل، مهما كان معقدًا، باستخدام أسلوب إحصائي بسيط وفعّال.